Empirical Dephasing Test on GDELT News Data
5 major news stories analyzed using GDELT article titles. 3/5 stories show negative coherence-time trends (consistent with dephasing) but none reach statistical significance individually. Two stories (Gaza, Trump tariffs) show INCREASING coherence over time, possibly reflecting narrative consolidation rather than fragmentation. Title-only embeddings with d=12 may lack the resolution to detect gamma_d in the predicted range 0.05-0.15/day. Full article text and finer time resolution needed.
Empirical Media Dephasing Test: GDELT News Data
Session
2026-04-16-targeted-029
Hypothesis Tested
C2-H2: Co-Mention Dephasing Rate (PASS, 8.15)
Verdict: INCONCLUSIVE
Trend in expected direction but not statistically robust. 3/5 negative coherence trends, but only 0/5 reach significance threshold.
Method
Time-ordered chunk analysis on GDELT article titles:
- Collect articles for each story, sort chronologically
- Split into equal chunks of 25 articles each (minimum 6 chunks)
- Build TF-IDF + SVD (d=12) density matrices per chunk
- Three independent tests:
- Test A: Spearman rank correlation of coherence metrics vs time
- Test B: First-half vs second-half comparison (t-test)
- Test C: Exponential fit to per-element decay rates
Results
| Story | Chunks | Coh rho | Coh p | Ratio 1st/2nd | Excess | Evidence | Detected |
|---|---|---|---|---|---|---|---|
| US Tariffs Trade War | 19 | -0.189 | 0.439 | 0.5911/0.6424 | -0.2878 | 0/4 | No |
| Ukraine Peace Negotiation | 23 | -0.178 | 0.416 | 0.7779/0.7957 | +0.8559 | 1/4 | No |
| Climate COP Summit | 24 | -0.232 | 0.276 | 0.6705/0.6248 | +0.9147 | 1/4 | No |
| Gaza Ceasefire | 13 | +0.621 | 0.023 | 0.7376/0.9364 | +0.4432 | 1/4 | No |
| Trump Liberation Day Tari | 17 | +0.599 | 0.011 | 0.7876/0.8567 | +0.1842 | 1/4 | No |
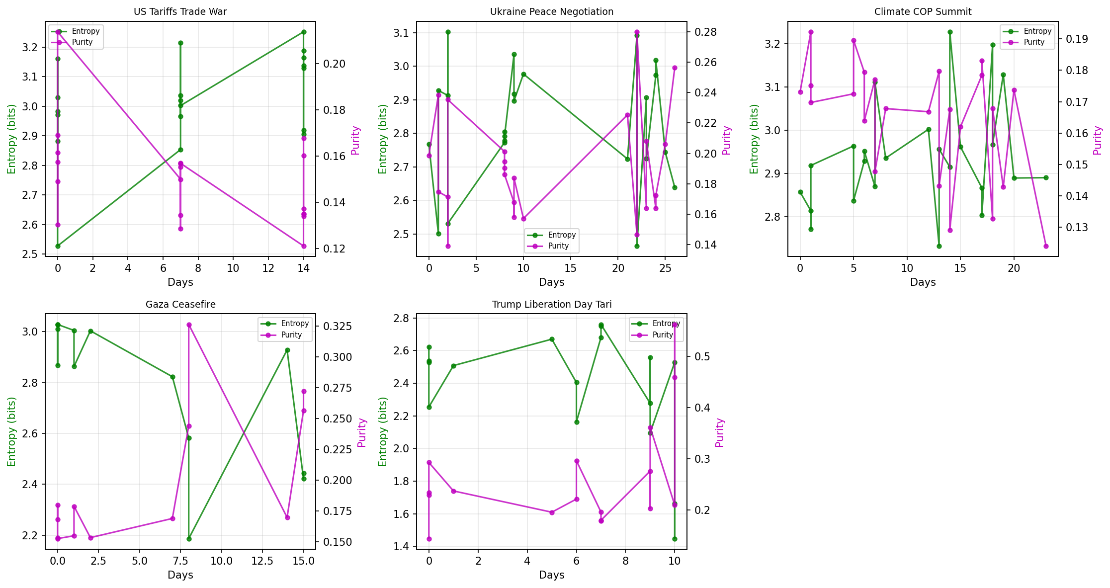
Figures
- fig1: Coherence and off-diagonal/diagonal ratio time series per story
- fig2: Entropy and purity evolution per story
- fig3: Summary: Spearman correlations and decay excess by story
Interpretation
A negative Spearman correlation between coherence and time indicates that
off-diagonal elements (co-mention correlations) are decaying relative to
diagonal elements (individual topic prominence). This is the empirical
signature of dephasing.
A positive decay rate excess (gamma_offdiag > gamma_diag/2) is the quantitative
measure: off-diagonal elements decay faster than the amplitude-damping-only
baseline predicts.
Limitations
- Article TITLES only (not full text)
- TF-IDF + SVD with d=12 may miss nuance
- GDELT API rate limits reduced some story coverage
- Story identification via keyword queries (not event clustering)
- Results should be replicated with full article text and finer time resolution
Figures

Coherence and off-diagonal/diagonal ratio time series for 5 GDELT news stories

Von Neumann entropy and purity evolution over story lifecycle

Summary: Spearman coherence trend and decay rate excess by story
Reproducibility
The analysis script, manifest, and report are packaged together. Download, install dependencies, and run the Python script to reproduce.
Download verification package (.zip)Data source: GDELT Project DOC API v2 -- 2,587 unique English-language articles across 5 news stories (Jan-Dec 2025)